薬剤師の気になるトピックをお届け!今月の特集

更新日: 2023年3月12日 児島 悠史

2023年【第108回薬剤師国家試験】新人教育に役立つ問題3選

vメインの画像1

前回は、最近の“トレンド”を押さえた問題を3つ紹介しましたが、今回は「現場の薬剤師」であればちょっとした補足解説を付け加えたくなるような問題を3つ紹介します。「国家試験で問われた知識」が、「現場でどのように活きてくるのか」がわかると、きっと新人薬剤師にとっても良い刺激になるはずです。ぜひ、新人さんとの会話に使ってみてください。

お役立ち問題1:【問212-213】 ピボキシル基を持つ抗菌薬と、そのリスク

問212-213 1歳男児。体重10kg。中等度の急性副鼻腔炎と診断され、アモキシシリン水和物散が処方されたが効果不十分と判断され、薬剤感受性を考慮し以下の処方へ変更になった。

(処方)
 セフカペンピボキシル塩酸塩細粒 10% 1回0.3g(1日0.9g) 
                    1日3回 朝昼夕食後 5日分

問212(実務)
 本症例において、薬剤師が留意すべき重大な副作用はどれか。1つ選べ。

  • 甲状腺組織の直接的障害による甲状腺機能低下症
  • 糖新生抑制による乳酸アシドーシス
  • ヒスタミン遊離によるレッドネック症候群
  • ビタミンA欠乏による視覚障害
  • 血清カルニチン低下による低血糖

【正解】 表示

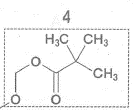
問213(物理・化学・生物)
 以下は、セフカペン ピボキシル塩酸塩水和物の化学構成である。前問の副作用の原因となる構造を含む部分はどれか。1つ選べ。
 なお、前問の副作用は本品がプロドラッグであることに由来する。

2023年【第108回薬剤師国家試験】新人教育に役立つ問題3選の画像1
【正解】 表示

または

m3.com会員登録いただくと、医療ニュースや全てのコラム記事が読み放題&ポイントが貯まる

新規会員登録(無料)
児島 悠史の画像

児島 悠史
こじま ゆうし

薬剤師 / 薬学修士 / 日本薬剤師会JPALS CL6。
2011年に京都薬科大学大学院を修了後、薬局薬剤師として活動。
「誤解や偏見から生まれる悲劇を、正しい情報提供と教育によって防ぎたい」という理念のもと、ブログ「お薬Q&A~Fizz Drug Information」やTwitter「@Fizz_DI」を使って科学的根拠に基づいた医療情報の発信・共有を行うほか、大学や薬剤師会の研修会の講演、メディア出演・監修、雑誌の連載などにも携わる。
主な著書「薬局ですぐに役立つ薬の比較と使い分け100(羊土社)」、「OTC医薬品の比較と使い分け(羊土社)」。

キーワード一覧

薬剤師の気になるトピックをお届け!今月の特集

この記事の関連記事

この記事に関連するクイズ

アクセス数ランキング

新着一覧

28万人以上の薬剤師が登録する日本最大級の医療従事者専用サイト。会員登録は【無料】です。

薬剤師がm3.comに登録するメリットの画像

m3.com会員としてログインする

m3.comすべてのサービス・機能をご利用いただくには、m3.com会員登録が必要です。

注目のキーワード

医薬品情報・DI 調剤報酬改定 薬物療法・作用機序 門前薬局 服薬指導 医療過誤・ヒヤリハット かかりつけ薬剤師 薬局経営 オンライン服薬指導 薬剤師インタビュー